杭州電子科技大學美術設計類專業招生概況
學校簡介
杭州電子科技大學是浙江省人民政府與國防科工局共建的教學研究型大學,是浙江省首批重點建設的5所高校之一。學校始建于1956年,先后隸屬于機械工業部、電子工業部和信息產業部等中央部委,2000年實行浙江省與信息產業部共建、以浙江省管理為主的辦學管理體制,2007年成為國家國防科工委和浙江省人民政府共建高校,2015年被浙江省列為首批重點建設高校。
學院簡介
數字媒體與藝術設計學院是一所面向現代文化創意、數字出版與移動多媒體產業,致力于文化藝術產品的創意與設計、數字復制與傳播、集成制造與增值服務的專業學院。現設有數字媒體技術、藝術設計、新媒體傳播3個系,有數字媒體技術(學碩)和藝術(專碩)2個碩士點,有數字媒體技術、傳播學、工業設計、產品設計、數字媒體藝術5個本科專業。
美術類本科招生概況
杭州電子科技大學先有產品設計專業,后設立數字媒體藝術專業,歷來不組織校考,使用各省美術統考成績。
杭州電子科技大學不單獨發布藝術類招生簡章,考生可從學校發布的招生計劃、招生章程中獲取美術類專業招生信息。
2019年杭州電子科技大學招生計劃、招生章程將于6月份發布,我們可以先參考一下往年的招生與錄取情況。
杭州電子科技大學2018年美術類本科招生計劃
|
省份 |
批次 |
招生專業 |
科類 |
計劃數 |
|
浙江 |
本科二批 |
設計學類 |
藝術(不分文理) |
55 |
|
湖南 |
本科提前批 |
設計學類 |
藝術(理) |
3 |
|
湖南 |
本科提前批 |
設計學類 |
藝術(文) |
4 |
|
山東 |
第一批 |
設計學類 |
藝理 |
2 |
|
山東 |
第一批 |
設計學類 |
藝文 |
2 |
|
江西 |
提前本科(一) |
設計學類 |
藝術(不分文理) |
4 |
|
湖北 |
藝本(一)美術與設計學類 |
設計學類 |
藝術(不分文理) |
9 |
|
河北 |
本科提前批A |
設計學類 |
藝術(不分文理) |
4 |
|
北京 |
本科提前A |
設計學類 |
藝術(理) |
2 |
|
北京 |
本科提前A |
設計學類 |
藝術(文) |
1 |
|
安徽 |
藝術類第二批本科<模塊7>) |
設計學類 |
藝術(不分文理) |
7 |
錄取規則
設計學類按藝術設計類培養,含產品設計、數字媒體藝術。藝術(美術)類專業的專業成績,我校均采用考生所在省(市)藝術(美術)統(聯)考成績,不另行組織?肌
按照各省規定的辦法進行投檔,對專業成績與文化成績均上線的進檔考生按綜合總分排序,統一劃定分數線。綜合總分=文化成績÷文化滿分×750×50% +專業成績÷專業滿分×100×7.5×50%
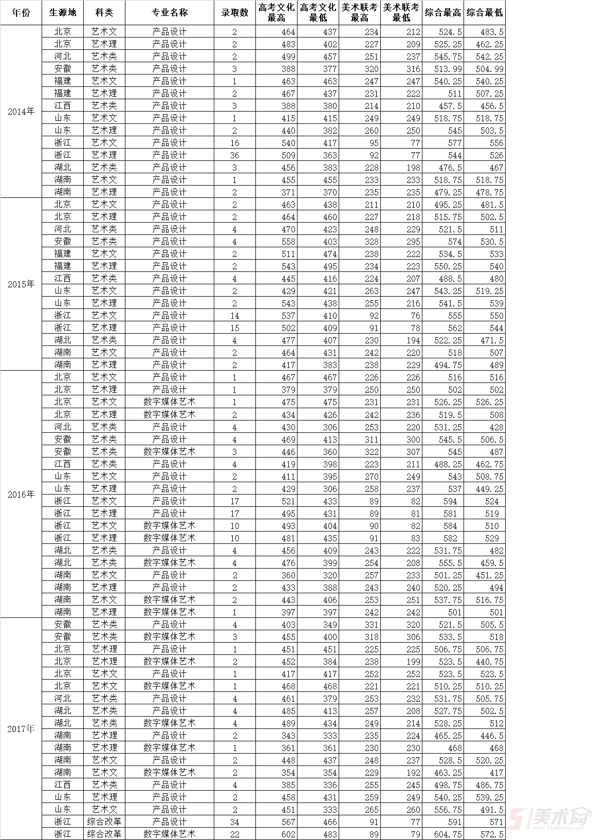
杭州電子科技大學2014-2017年美術類本科專業錄取分數線

杭州電子科技大學歷來不組織校考,采用各省美術統考成績作為錄取時的專業課成績依據。
按照各省規定的辦法進行投檔,對進檔考生按綜合總分排序,統一劃定分數線。綜合總分=文化成績÷文化滿分×750×50% +專業成績÷專業滿分×100×7.5×50%
聯系方式:
招生網址:http://zhaosheng.hdu.edu.cn
咨詢電話:0571-86915007
招生辦微信訂閱號:hdusos
電子郵件: zhaosheng@hdu.edu.cn
通訊地址:杭州下沙高教園區杭州電子科技大學
掃碼關注,實時發布,藝考路上與您一起同行
















